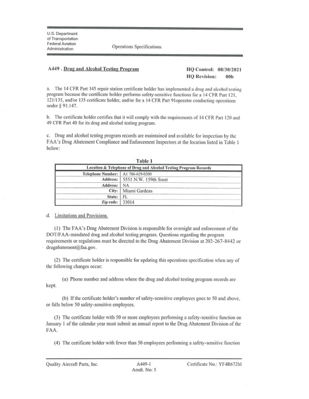
Certifications

uploads/20251209 UK14550078 Approval Certificate 001.pdfCertificate #YF4R672M Cage Code #1VJ10

Our state-of-the-art 30,000 sq. ft. facility boasts the esteemed approval of not only the Federal Aviation Administration (FAA), furthermore, has secured approvals from numerous other aviation authorities, demonstrating our global reach and adherence to the highest standards. Equipped with the latest technology and top-of-the-line equipment, our facility is designed to meet and exceed the industry standards accessible for both domestic and international shipments.